- International Students
- Admission Requirements
Admission requirements
-
Academic Qualifications
A High school graduation certificate with a minimum accumulated grade point average (CGPA) of 60%. Applicants are advised to review the country-specific requirements for detailed submission guidelines. -
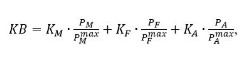
Entrance Score Calculation

The Entrance Score (KB) is calculated using grades in three subjects: Mathematics (M), Physics or another science or social science subject (F), and English language (A). Each grade is first normalized against the maximum possible grade, then multiplied by a specific weighting factor. The final entrance score is the sum of these weighted values, based on a formula provided by the university.
-
Document Legalization
All applications must include official, legalized English translations of academic transcripts if they are not issued in English. Unofficial or self-translated documents will not be accepted.
Your documents must be:
- Legalized by a consular office – if they were issued in a country not part of the 1961 Hague Convention.
- Certified with an Apostille – if they were issued in a country that is part of the 1961 Hague Convention.
If you’re unsure which rule applies to your country, please check your country’s status regarding the Hague Convention.
-
English Language Proficiency
International applicants whose native language is not English must provide proof of their English language proficiency. Exceptions are made only for applicants who have completed their previous studies fully in English.
TESTMINIMUM SCORE REQUIREDIELTS academic5.5 (no section below 5.5)FCE (B2 First)Minimum overall score: 160CAE (C1 Advanced)Grade C or aboveCPE (C2 Proficiency)Grade C or aboveTOEFLPaper 510 / iBT 70 / CBT 180 (code 6529)LanguageCert International ESOL (L, R, W)Level B2 – CommunicatorTOEICListening & Reading: 785; Speaking & Writing: 310PTE AcademicMinimum 48 in all four skillsDuolingo English Test (online)Minimum score: 95 -
Entrance Examinations
Applicants from secondary or vocational schools in Pakistan, Bangladesh, or Nepal must take the OMPT Mathematics entrance exam. The exam grade replaces the school mathematics grade in the Entrance score and requires at least 60% for university Bachelor’s programmes or 50% for professional Bachelor’s programmes.
-
Entrance Examination for Architecture programme
Applicants to the Architecture programme must also pass an entrance test. Please check the sample test.
-
Academic Qualifications
A Bachelor’s degree or its equivalent in a relevant field with a minimum CGPA of 60%. Please refer to the country-specific requirements for more detailed information.
-
Academic Transcripts
Applications must include official, legalized English translations of all academic transcripts if they are not issued in English. Unofficial or self-translated copies are not accepted.
-
Document Legalization
All applications must include official, legalized English translations of academic transcripts if they are not issued in English. Unofficial or self-translated documents will not be accepted.
Your documents must be:
- Legalized by a consular office – if they were issued in a country not part of the 1961 Hague Convention.
- Certified with an Apostille – if they were issued in a country that is part of the 1961 Hague Convention.
If you’re unsure which rule applies to your country, please check your country’s status regarding the Hague Convention.
-
English Language Proficiency
International applicants whose native language is not English must provide proof of their English language proficiency. Exceptions are made only for applicants who have completed their previous studies fully in English.
TESTMINIMUM SCORE REQUIREDIELTS academic5.5 (no section below 5.5)FCE (B2 First)Minimum overall score: 160CAE (C1 Advanced)Grade C or aboveCPE (C2 Proficiency)Grade C or aboveTOEFLPaper 510 / iBT 70 / CBT 180 (code 6529)LanguageCert International ESOL (L, R, W)Level B2 – CommunicatorTOEICListening & Reading: 785; Speaking & Writing: 310PTE AcademicMinimum 48 in all four skillsDuolingo English Test (online)Minimum score: 95 -
Faculty Evaluation
All applicants must receive acceptance from the Dean’s Office of their chosen faculty. This includes a recorded interview, submitted after the application, which is evaluated by the director of the selected study programme.
-
Study Gap
The gap since the last completed degree should not exceed three years, unless the applicant provides credible certificates of relevant professional work experience.
-
Doctoral Admission Requirements
To be eligible for Doctoral studies at VILNIUS TECH, applicants must hold a Master’s degree or its equivalent, supported by official transcripts. They must demonstrate strong research achievements and provide recommendations from academic staff or researchers. For detailed information, applicants are advised to contact the Department of Doctoral Studies.
